Name: 2-D Motion Ball Launch Cart
Location: L314
Material: Pasco Ball Launch, Trigger rod attaches to cart, Yellow Ball, Lab Jacks
Description of Demo: The PASCO Ballistic Cart Accessory is used with a PASCO Dynamics Cart and track to shoot a plastic ball straight up from the moving cart. If the cart is moving at a constant velocity, the ball will fall back into the catcher on the cart. The ball is released using a photogate so there is no impulse given to the cart upon release as there is in other models relying on a string to release the ball. The barrel can be aimed to ensure that the ball is shot vertically. Special no bounce foam prevents the ball from bouncing back out of the catcher cup.
A ball is launched perpendicular to a traveling cart. Will the ball fall back into the cart in the following conditions? Set-up the trigger system.



Cart accelerated by a force provided by the mass over the pulley: The acceleration of the ball is only gravity after the launch. The cart is accelerating along the ramp so the ball will fall behind the cart. The ball has no acceleration in the x direction in this case once it is launched.

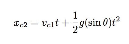
Car on inclined track. (Ball will fall into the cart) Great example of 2-D motion. Since the ball is launched perpendicular to the track, it is launched at angle to the g acceleration vector. Both the ball and the cart have an acceleration parallel to the track in the x direction!
Eq. 1 Cart

Eq 2 Ball
The initial velocity for the ball in the x direction is the same as the cart. The two equations are equivalent so the ball lands inside the cart. All because the ball is always launched perpendicular to the cart.
No Activity YetComment and @mention people to notify them.
Comment(optional)
Write a comment